Primăria Carei: Totul pentru grupul de interese

• publicat la: 21 noiembrie 2015
Primăria Carei: Totul pentru grupul de interese

Primăria mun.Carei  cumpără de la societatea Twin Impex SRL  doi cai lipitani în valoare de 37.970,72 lei, plătiţi la 24 .10.2014, pentru folosinţa  Asociaţiei Equus, unde preşedinte este Veress Anna, angajată ca şi consilier în primăria Carei (conform declaraţiei de avere şi interese semnată în data de 2 iunie 2015).

Tot Primăria Carei, unde este angajată preşedinta Asociaţiei Equus, a derulat  proiectul transfrontalier “Revitalizarea Grădinii aferente Castelului”, cod  HURO 1101/019/1.3.1. din care 675.434,00  euro sunt alocaţi Careiului. Manager de proiect, Veress Toma, nimeni altul decât soţul consilierei din aceeaşi primărie, preşedinta Asociatiei Equus, fost consilier local.

Aici,   Aici,  Aici

Comentariile sunt de prisos. Puteţi urmări declaraţiile de avere şi interese ale celor doi soţi, precum şi date despre proiectul transfrontalier amintit  pe site-ul mai recent al primăriei Carei, şi anume www.municipiulcarei.ro .

Potrivit documentelelor contabile care probează cele afirmate, Primăria Carei va trebui să dea explicaţii pentru faptele  menţionate mai sus . Nu  sunt singulare  şi nici pe departe cele mai relevante în ce priveşte  managemetul  acestei instituţii!

În plin centrul oraşului CAREI, funcţionează un grajd de creştere a cailor ( un grajd şi nu facem referire la manej) în condiţiile în care în zona respectivă, Consiliul Local a adoptat o hotărâre care interzice creşterea animalelor. În timp ce alţi cetăţeni din Carei sunt amendaţi pentru deţinerea de animale în zonele interzise, Primăria Carei cumpără 2 cai de rasă pentru un grajd situat în zona A, la nici 100 m de Ambulatoriu şi Spitalul Carei.  Geamurile de la ambulatoriu-policlinică se pot vedea în partea dreaptă a imaginii preluate de pe site-ul Asociaţiei, în spatele calului alb.

În orice localitate din Europa, inclusiv în cea parteneră de proiect, grajdurile de creştere a cailor se află la marginea oraşelor, înafara aglomerărilor urbane, pentru a proteja populaţia.

La Carei, nostalgia primarului după vremurile demult apuse ale dominaţiei grofilor, aduce şi menţine grajdul de cai în centrul oraşului. Şi acesta nu e singurul aspect care atrage revolta! Dorind să intre cu totul în pielea personajelor după care este nostalgic, primarul îşi permite să menţină cu bună ştiinţa o stare de totum-factum în cadrul administraţiei locale, considerându-se cu totul şi cu totul deasupra Legilor acestei ţări!

Cum altfel ne putem explica faptul că Asociaţia Equus nu şi-a plătit NICIODATĂ din 2000 încoace impozitul pe clădiri, deşi acest aspect a fost semnalat de nenumărate ori în şedinţele de CL  Carei ? AICI.

Cum se face că până la această dată nu a citit contractul de concesionare a clădirilor din parc folosite ca şi grajd, acestei asociaţii pe o perioada de …50 de ani(???!) cu doar 12 voturi Pentru din cei  21  consilieri în funcţie la acea dată de august 2000  şi să dorească să intre în legalitate?

După cum puteti urmări din Procesul Verbal al sedinţei din luna august  2000  în care s-a atribuit preşedintei  Asociaţiei Equus,  aceasta s-a angajat că va păstra în acel spaţiu atât cinematograful cât şi …sala de tenis de masă unde Mircea Podoba  antrena copiii careienilor!

 

Praful s-a ales de promisiunile de atunci mentionate si în Procesul Verbal.

Abia în anul 2005 s-a încheiat un Protocol între Asociaţia Equus şi Primăria Carei şi doar de la acea dată  au fost înscrise pe numele asociaţiei toate utilităţile pe bază de contracte cu furnizorii de utilităţi deoarece până  în mai 2005 acestea au fost achitate  de …Primăria Carei.

În fostul cinematograf  s-a dorit amenajarea unui Teatru deVară, pentru care au fost plătiţi peste 25.000 lei pentru Studiu de Fezabilitate. Fără nici o remuşcare, primarul aruncă aceşti bani pe apa sâmbetei, consilierii săi majoritari schimbând destinaţia acelui spaţiu şi transformându-l în manej. AICI 

Să facă parte cumva consiliera dintr-un grup de interese?

La fel şi sala de tenis de masă a dispărut fără urmă, lăsând la acea vreme copiii în stradă şi obligând antrenorul să amenajeze de la zero o centrală termică dezafectată!

Activitatea prestată de preşedinta Asociaţiei Equus  este una deosebit de binevenită  în peisajul careian dar acest fapt nu o scuteşte de respectarea legilor în vigoare. I s-a propus chiar acordarea de teren generos pentru a nu chinui animalele în perimetrele înguste în care sălăşluiesc momentan.  Dar  trăim în Carei, municipiul unde este interzis accesul cîinilor în parcul unde există grajd pentru creşterea cailor.

La ora actuală, suntem în situaţia în care primăria Carei acceptă ca Asociaţia să nu plătescă defel impozitul pe clădiri, să folosească în scopuri comerciale cai cumpăraţi din fondurile primăriei (Curs de călărie 35 lei/oră.Tabără de călărie 50 lei zi.Cazare 25 lei/noapte)   dar copii aflaţi în grija unei congregaţii a surorilor de etnie română să fie refuzaţi a fi ajutaţi  identic cum sunt ajutaţi cei de aceiaşi etnie cu cei doi primari. Să ne aşteptăm ca nostalgiile primarului după perioada dominaţiei grofilor să aducă în dotarea Poliţiei Locale săbii şi scuturi pentru agenţi călări?

Daniela CIUTĂ

 

Consilierii şi finul primarului au lansat adevărate campanii de presă împotriva  Buletin de Carei şi a colaboratorilor  săi  sau la adresa membrilor de familie  a administratorului Buletin de Carei dar nu reuşesc să ne intimideze!

Continuăm. Ce nu te omoară te întăreşte!

Ne propunem să semnalăm şi   să publicam în continuare toate situaţiile cu care se confruntă careienii, uneori de coşmar de-a dreptul. Incurajările careienilor  plătitori de taxe şi impozite, pentru care le mulţumim,  ne dau puterea de a merge mai departe!

Nu vă fie teamă să spuneţi adevărul! Chiar dacă şedinţele publice ale Consiliului Local  NU  sunt dorite a vă fi prezentate pe posturile TV locale , Buletin de Carei vă va prezenta toate Procesele Verbale ale şedinţelor!

Fiecare dintre cetăţenii acestui oraş are dreptul la condiţii decente de viaţă indiferent de pregătire, de  etnie, de condiţia socială. Cu toţii  contribuim la bugetul local şi de stat şi trebuie să fim conştienţi că avem şi drepturi  nu numai obligaţii !

 

comentarii

de alexandru la 22 noiembrie 2015 - 19:13

da eugene eugene vad ca te tii tot de rele si vrei sa umbli pe urmele lui viorele viorele!
https://www.youtube.com/watch?v=BsxvBnlhQQk

si puteai sa traiesti si tu bine dinb salarul de primat asa taiat cum era da macar dormeai la casa ta linistit nu stresat ca vine duba sa dai cu subsemnatul…si daca se baga iar pasapoartele la vama iar nu poti sa fugi la debretin cum ai fugit de la sedinta in care au venit motii din ianculesti sa isi apere pasunea pe care tu vroiai padure de pin negru pentru baiet!

de Horia Mărieș la 22 noiembrie 2015 - 22:16

M-a supărat foarte rău ce am citit că un spectacolul din cadrul festivalului internațional de teatru va avea loc în „MANEJUL EQUUS din Carei” și atunci am exclamat revoltat: Mama ei de treabă, fir-ar ea a driakului, mama lor de aljas pucerok fiindcă ăstia chiar umblă ca nesimțiții în puța goală, fiind dezbrăcați definitiv de orice fel de rușine!

Să fie foarte clar, nu am in nici un caz, nimic de reproșat organitorului SPOT, ba dimpotrivă, dânsul are tot respectul și toată stima mea exprimată mereu de la o mare depărtare, pentru toate strădaniile dânsului, pentru tot ce citesc/aud că face, dar se pare că așa s-au încurcat (sau s-au legat) lucrurile de data asta.

Citind articolul de mai sus, citind hârțoagele semnate de Veress Anna și prezentate în articol, apoi semnate și ștampilate/parafate de Bekő, mai știind in plus și unele lucruri despre care am citit mai de mult, cam prin comuna primitivâ sau în antichitate (sau lucruri despre care am si scris deja, ca de exemplu: http://www.buletindecarei.ro/2014/06/galeata-cu-balega-de-cal.html precum si în articolul „Un proiect în oglindă, publicat în Bdec la: 10 October 2013, asta făra să mai amintesc multevalte măzgaleli și prostioare de ale mele legate de acest subiect și postate ca și comentarii în BdeC) reiterez acum o mică și ceva mai veche rugăminte:

de Horia Mărieș la 11 October 2013 – 18:23

Onorată Redacție Buletin de Carei,

Vă rog respectuos să clarificați și să detaliați, eventual cu citate clare din proiect, în ce fel este, (…) Veress Anna, administratorul Asociatiei Equus Carei, unul din beneficiarii proiectului”.

Poate că n-am fost destul de clar și cu riscul de a mă repeta, întreb din nou: Unde scrie negru pe alb în proiect că Veress Anna (si/sau Asociația EQUUS) este unul din beneficiarii acestui proiect (HU-RO)?

Eu trăiam cu falsa impresie că Municipiul Carei, locuitorii Municipiului Carei, contribuabilii careieni sunt beneficiarii acestui proiect și nu Veress Anna sau Asociația EQUUS. M-am înșelat chiar atât de profund?
……….

În Procesul Verbal al ședinței C.L. al Primariei municipiului Carei din luna august 2000 se consemnase negru pe alb:

„D-NA VERESS confirmă că [în] cererea [Asociației „EQUUS” prin care se solicită atribuirea în folosință gratuită pe termen de 50 de ani a fostului manej din Parcul central al municipiului Carei] este vorba de întreaga clădire [unde se mai află și cinematograful și spațiul atribuit pentru tenis de masă] dar NUMAI pentru participarea la obținerea de fonduri UE iar CINEMATOGRAFUL RESPECTIV SALA DE TENIS RĂMÃN PE LOC.”

Drept urmare s-a născut prin cezariană celebra HCL nr. 18/30.08.2000 in condițiile în care cel puțin doi dintre escrocii cei care au decis atunci, adică Veress Anna (consilier local) și Bekő Tamás (primarul in funcție la aceea dată) se aflau într-un FLAGRANT CONFLICT DE INTERESE, ei fiind și membri fondatori ai „Equus”.

Trec peste evidenta escrocherie consemnată ca atare în P.V. din 30 august 2000 (recunoașterea faptului că s-a dorit de către Veress Anna, cu complicitatea interesată a celor care au votat „pentru” în C.L., adica cu posibila complicitate a unor alți membri fondatori ai „Equus”, fentarea autorităților și a tuturor celorlalți proști, inclusiv a celor europeni, pentru obținerea frauduloasă, ilegală cu motive mincinoase, neadevărate, false, a unor fonduri UE, lucru care ulterior s-a și reușit de către „Equus”, adică de celebra asociație non-profit cabalinistico-udemeristă careiană)!

Fiindcă in articolul de mai sus nu se prezintă anexa la Protocolul nr. 5847/10.05.2005 semnat pe blat, pe sub masă sau pe sub fustă de Bekő Tamás și Veress Anna, nu pot să știu nici care a fost „obiectul Protocolului”, adică „imobilul prevăzut in anexă situat in Parcul Dendrologic Carei”.

[Mă intreb, cu naivitatea care mă caracterizează mereu, dacă în anexă nu era cumva cuprins și imobilul numit „Castelul gróf Karolyi” aflat tot in Parcul Dendrologic Carei, fiindcă de la niște escroci de cea mai joasă speță de poți aștepta la absolut orice!]

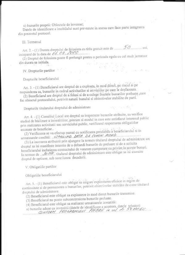
Vezi in context și Art. 1, alin. (3), lit. „c” din Protocol: „Datele de identificare a imobilului sunt prevăzute in anexa care face parte integrantă din prezentul protocol.”

Ar mai fi de notat și o altă „drăgălășenie” strecurată de jmekerii escroci in Protocol și anume la Art. 2, alin. (2): „Dreptul de folosință poate fi prelungit [după data de 1 septembrie 2050] pentru o perioadă egală cu cel mult jumătate din durata sa inițială [adică până la data limită de 1 septembrie 2075].

Nu pot să nu mă intreb, chiar dacă o să se spună din nou despre mine că sunt cârcotaș și negru in cerul gurii: oare care au fost motivele care i-au făcut să șemneze pe tâmpiții din cadrul Primăriei Carei [primar, șeful Biroului Tehnic-Investiții, șeful Compartimentului Spațiu Locativ (sic!)], cu ce îi era dator, cu ce il avea la mână numita Veress Anna pe fostul primar Bekő Tamás pentru ca acesta să fi fost în stare să semneze o astfel de enormitate în favorea familiei Veress, inclusiv in favoarea nepoților-nepoților numitei Veress Anna (adică până în anul 2075)? Cu ce l-a șantajat oare nepoata de grăjdar pe actualul city-manager?

Nu știu dacă a observat cineva, dar Prococolul nr. 5847 datat 10.05.2005 nu este semnat nici de Contabilul Sef și nu este vizat de nici Oficiul Juridic din cadrul Primariei Carei. Lucru absolut normal, fiindcă nici un consilier juridic cu scaun la cap si nici un contabil șef responsabil nu putea semna o astfel de porcărie strigătoare la cer.

Șții, m-am „întins” cu textul de mai sus, știu că i-am exasperat din nou pe unii.
Imi cer smerit scuze și bat cuiul la cap, adică reiterez întrebarea la care aș dori să aflu neapărat un răspuns:

Ca ce chestie, pentru ce pisici, pe ce bază și pe ce logică, de ce a driakului, manejul din Parcul Dendrologic este numit azi de unii” Manejul EQUUS”?

Am fost oare suficient de clar?

Cei ce se simt că sunt careini informați ce nu pot fi manevrati, cei care măzgălesc zilnic diverse opinii strâmbe, cei ce sunt doar persoane fizice autorizate (private), dar și jurnaliștii locali care proclamă sâptămânal pe prima pagină că pânâ și în ziua de azi li se închide gura prin mijloace specifice poliției politice, pot să-și dea și ei cu părerea, cu presupuțul, fiindcă au garantat dreptul la liberă exprimare. Că doar trăim cu toții într-o țară liberă.

de Horia Mărieș la 23 noiembrie 2015 - 06:06

Știu.

Nici acum nu s-a remarcat in intreaga lui splendoare tupeul infinit al nepoatei de grăjdar și prostia fenomenală a fostului primaș, a actualulul city manager:

1. Madam Veress obtine concesionarea gratuită pe 50 de ani a imobilului (că e vorba doar de grajd sau că este vorba de grajd + actuala pensiune + fosta sală de cinematograf, incă nu îmi este clar, aștept să mă lămuresc după publicarea anexei la Protocol.

2. Pe baza celor scrise in P.V. din august 2008 si plină de cele mai bune intenții cabalistice de călăreață nesătulă, madam Veress obține o finanțare europeană in cuantum de 56.000€ cu care aduce unele imbunatâtiri grajdului dar mai ales „pensiunii” pe care o va tranforma in cuibușor de ne unii al elevilor minori și ai udemeriștilor locali.j

3. După trecerea celor 50 de ani de concesionare gratuită, conform Art. 4 alin. (3) din Protocol, madam Veress (sau moștenitorii ei) poate să vãndă Primariei Carei bunurile obținute din fondurile europene, adică poate recupera de la cretina de primărie condusă de un primaș tembel, suma de cca 56.000€.

Bref: în anul 2000 madam Veress sau famiglia dânsei, cea specializată in așezarea găleții cu balega de cal pe capul unui sas, bagă in afacere zero lei si zero bani, madam Veress sub umbrela „Equus” exploateaza timp de 50 de ani de-a moaca imobilul fără să platească nici un singur ban, iar, în final, după 50 de ani, adica în anul 2050, nepoții dânsei pot obține de la bătuta în moalele capului primărir a municipiului Carei suma de 56.000€. Nu a fost chiar prost gândită această escrocherie.

de vlad la 23 noiembrie 2015 - 17:16

cine permite ca penalii din primarie sa mai ramana acolo???? unde este legea in carei si de ce nu se aplica pentru toata lumea??? nu v-ati saturat de nemernicii de la conducere???

de pentrucabalinasefa la 7 februarie 2017 - 12:17

la cine ati vandut minjii de la grajd? citi bani ati luat pe ei??? noi careienii cand primim cota parte din ce am finantat ca si platitori de impozite pentru cumpararea lor?

de Horia Mărieș la 7 februarie 2017 - 13:10

@pentrucabalinasefa la 7 February 2017 – 12:17

Mi-ați adus aminte să revin cu o intrebare pe care am mai pus-o și la 22 November 2015 – 22:16 și la care sau n-am înțeles eu răspunsul oferit de oficialitățile locale, sau nu l-am primit de loc, deși pentru U.A.T. lucrează nici mai mult, nici mai puțin decât patru remarcabili, foarte talentați și deosebit de combativi jurnaliști profesioniști (B.E.Gh., M.T.R., Sz.E.L., B.C.):

„Ca ce chestie, pentru ce pisici, pe ce bază și pe ce logică, de ce a driakului, manejul din Parcul Dendrologic este numit azi de unii „Manejul EQUUS” ?”

Cred că întrebarea mea este doar una retorică, fiindcă, așa cum îi cunosc eu pe cei patru, pe ei n-o să-i preocupe niciodată o astfel de temă cabalino-existențialistă, dânșii fiind de fapt niște intelectuali de marcă și care au trebă doar cu subiecte/teme filosofice, ei nu se ocupă niciodată de „mărunțișuri” (cu excepția îndepărtării baligii de cal care le-a fost vărsată drept în vârful capului de soțul foarte supărat al „cabalineișefe” – titulatura asta nu-mi aparține, să fie lucrurile foarte clare!).

Lasati un comentariu